官方微信
官方微博
基于高温退火非极性面氮化铝单晶薄膜实现高性能声学谐振器
来源:麦姆斯咨询  浏览次数:593  发布时间:2024-01-24

氮化铝(AlN)以其超宽禁带宽度(~6.2 eV)和直接带隙结构,与氧化镓、氮化硼、金刚石等半导体材料被并称为超宽禁带半导体,与氮化镓、碳化硅等第三代半导体材料相比具有更优异的耐高压高温、抗辐照性能。此外,氮化铝沿c轴的高频压电性能与高声速特征使其成为制备高频声学谐振器的理想材料,已被广泛应用于高频通讯的射频前端模组。然而,氮化铝材料铝-氮键键能强,制备温度高,高质量单晶制备条件极其苛刻,这些问题严重限制了氮化铝单晶材料的发展及应用,因此高质量大尺寸氮化铝单晶材料的制备与应用是目前新型半导体材料发展的重要方向。

针对上述瓶颈问题,国内外诸多单位,例如日本三重大学、德国柏林工业大学、北京大学、松山湖材料实验室、中科院半导体研究所、长春光机所、杭州奥趋光电等机构相继投入财力、物力与人力对氮化铝单晶材料进行深入研究,有效推动了氮化铝单晶材料在紫外发光领域的应用。而氮化铝材料另一重要应用领域—高频微机电系统(MEMS),依然鲜有氮化铝单晶材料的应用案例。氮化铝c轴方向具有优异的高频压电特性与高声速值,因此传统氮化铝体声波谐振器往往需要施加与压电轴方向重合的电场,因此在工艺上普遍选择金属电极/AlN薄膜/金属电极的三明治结构(图1 a与b)。但由于技术限制,尚无法在常用金属电极薄膜上生长单晶氮化铝。由此来看,传统体声波谐振器一方面很难引入氮化铝单晶材料,发挥单晶性能优势;另一方面体声波谐振器具有相对复杂的器件结构,表面声波谐振器虽然结构简单,仅具有平面叉指电极,但却由于传统c面氮化铝在水平方面的压电系数较小,且平面叉指电极形成的厚度方向电场较弱,无法充分利用c轴的优异压电性能。


应对上述瓶颈问题,由北京大学、上海微系统与信息技术研究所、松山湖材料实验室组成的联合研究团队,提出了基于高温热退火技术制备a面氮化铝单晶薄膜实现高性能表面声学谐振腔的解决方案(图1c和d),充分结合了氮化铝材料c轴优异高频压电特性与表面声波谐振器结构简单的双重优点。本方案是基于高质量非极性面单晶氮化铝薄膜实现的MEMS声学谐振器且器件性能优异,相关成果以“High speed surface acoustic wave and laterally excited bulk wave resonator based on single-crystal non-polar AlN film”为题,于2023年12月19日在Appl. Phys. Lett. [Appl. Phys. Lett. 123, 252105 (2023);]上在线发表,并以“High-Performance SAW Resonators Based on Single-crystalline a-Plane AlN Thin Films on Sapphire Substrates”为题收录于声学领域顶级会议IEEE International Ultrasonics Symposium [03-08 Sep. 2023, Montreal, QC, Canada]。


图片

图1 (a) 传统c面氮化铝薄膜晶体结构; (b)基于c面氮化铝薄膜的体声波谐振器结构; (c) a面氮化铝单晶薄膜晶体结构; (d) 基于a面氮化铝薄膜的的表面声波谐振器结构。(其中箭头P指向为极化方向)


a面氮化铝单晶薄膜

图片

图2 (a) 高温退火后的a面氮化铝薄膜的原子力显微镜形貌图;沿氮化铝 (b) 图片和 (c) 图片方向的X射线衍射倒空间结果; (d) 蓝宝石(0006)衍射晶面和氮化铝衍射晶面的X射线衍射Φ扫描; (e) r面蓝宝石衬底上a面氮化铝的结构示意图。


研究团队利用物理气相沉积结合1700℃超高温退火技术在r面蓝宝石衬底上实现了a面氮化铝单晶薄膜,根据氮化铝薄膜的图片图片方向倒空间X射线衍射图谱可知,氮化铝图片衍射晶面均具有较强的衍射信号,同时其与蓝宝石图片衍射斑具有相同的qx/qy,表明氮化铝图片和蓝宝石图片晶向均平行于薄膜法线方向。图2(d)中采用Φ扫描的方式分别确定了氮化铝和蓝宝石具有面内衍射分量的晶面,其中氮化铝图片晶向在薄膜面内的分量与蓝宝石图片晶向在薄膜面内的分量相互垂直。最终的氮化铝和蓝宝石之间的外延关系如图2(e)所示,所得氮化铝薄膜为c轴在薄膜面内的a面氮化铝单晶薄膜。


高频声学特性

图片

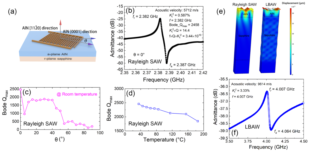
图3 (a) 基于a面氮化铝单晶薄膜的高性能谐振器结构示意图;(b) 室温条件下谐振器的导纳特性曲线 (θ = 0°) ; (c) 谐振器品质因子Bode-Qmax随θ变化规律;(d) 谐振器品质因子Bode-Qmax随温度变化测试曲线; (e) θ=0°时,谐振器中激发的瑞利波和横向体波的模拟结果示意图; (f) 基于a面氮化铝单晶薄膜谐振器激发横向体波的导纳曲线(θ = 0°)。


基于高温退火a面氮化铝单晶薄膜的谐振器结构示意图如图3a所示。为了证明施加电场方向与c轴之间相对角度的重要性,我们制备了一组具有不同夹角θ的谐振器,相邻谐振器之间的θ以5°为步进渐变。当θ=0°时,施加电场方向与氮化铝c轴方向平行,瑞利表面波的fr和fa 分别为2.382和2.387 GHz,Kt2=0.587%,而品质因子值高达2458,经优化后可提升至3731。此外,即使是在185°C条件下,谐振器的品质因子仍然高达1847,证明了其优异的高温工作能力。随着θ逐渐增大,瑞利共振与品质因子逐渐减弱。除瑞利表面波(Rayleigh SAW),谐振器同时在4.00 GHz频段激发出高频横向体波(LBAW),如图3f所示,当θ=0°时,LBAW的 fr和fa的频率分别为4.007和4.064 GHz,计算其对应的Kt2值为3.33%,计算得到声速高达9614 m/s,该工作是氮化铝体系中首次仅通过平面叉指电极激发高速横向体波。该结果证实了非极性面氮化铝单晶薄膜在高频声学谐振器领域具有巨大优势。特别值得一提的是,实现上述谐振器优异性能的单晶氮化铝薄膜表面粗糙度高达~7 nm,证明了此项技术的鲁棒性与产业前景。这一研究工作为氮化铝表面声波谐振器的发展开辟了新的思路,在一定程度上解决了氮化铝在表面声波谐振器中由于低d31所面临的瓶颈问题,有望推动高温退火氮化铝单晶薄膜在射频器件领域的发展与应用。


该研究工作由北京大学、上海微系统与信息技术研究所、松山湖材料实验室等单位共同完成。北京大学博士生卢同心、上海微系统与信息技术研究所博士生房晓丽为共同第一作者,袁冶副研究员、张师斌副研究员、欧欣研究员和王新强教授为共同通讯作者,同时该工作得到了南京航空航天大学吉彦达副教授、广东中民工业技术创新研究院杨安丽博士的支持。该研究工作得到了科技部国家重点研发计划、国家自然科学基金、北京市卓越青年科学家项目、中国科协青年精英科学家资助计划等项目的支持。



Baidu
map